Lösungen zum Arbeitsblatt Extremwertaufgaben


Ermittlung der Extrema

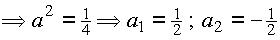
Zuerst muss man die 1. Ableitung gleich 0 setzen, um das lokale Maximum zu bestimmen.

zurück