Lösungen zum Arbeitsblatt Extremwertaufgaben


Zielfunktion

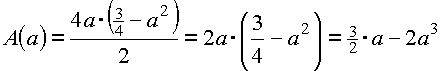
Der Flächeninhalt, den man als die Zielfunktion angibt, lautet:

zurück