Lösungen zum Arbeitsblatt Extremwertaufgaben


Berechnung der maximalen Fläche

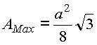
Es gilt:
;
mit
ergibt sich:

zurück