Lösungen zum Arbeitsblatt Extremwertaufgaben


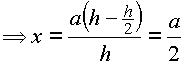
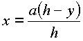
Bestimmung von x

Da gegeben ist, kann man y in den Term einsetzen.

zurück