Lösungen zum Arbeitsblatt Extremwertaufgaben


Berechung der Exterma

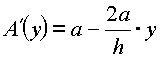
Die 1. Ableitung der Zielfunktion lautet
Nullstellen der Ableitung

zurück