Lösungen zum Arbeitsblatt Extremwertaufgaben


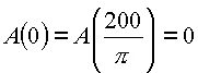
Globales Maximum?

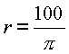
Dies ist der Fall, da
Also liegt bei auch das globale Maximum der Funktion A(r) im Definitionsbereich ID.

zurück